Y+4yexcos2x
Using The Method Of Undetermined Coefficients Solve D 2y Dx 2 2dy Dx 4y 2x 2 3e X Sarthaks Econnect Largest Online Education Community
Pages Mtu Edu Struther Courses Old Other Older 3521 10 Quizstuff Q5 Ch 4 Pdf

Laplace Transform Solution Of Y 2y 3y E T Y 0 0 Y 0 1 Youtube

Chapter 9 Differential Equations 9 1 Modeling With Differential Equations 9 2 Direction Fields And Euler S Method 9 3 Separable Equations 9 4 Exponential Ppt Download

Engineering Mathematics Notes
How To Solve D 2 4 Y Tan2x Quora

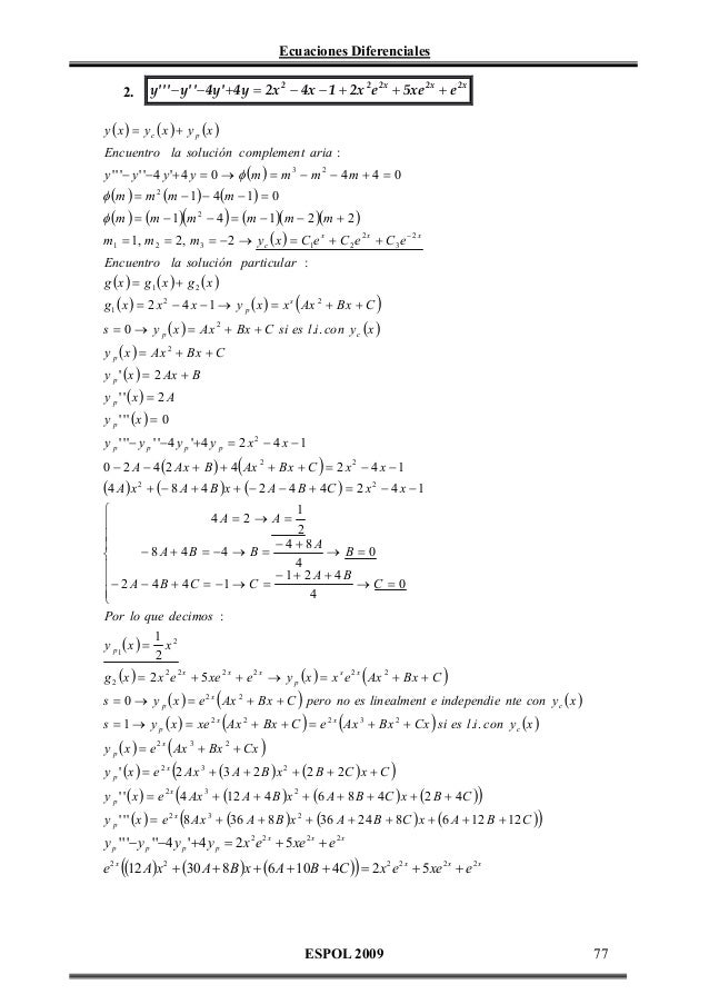
2

Check The Answer Of A Differential Equation When I Put It In Wolfram Alpha Online Technical Discussion Groups Wolfram Community

Thomas Calculus 12th Edition Thomas Solutions Manual
Www Tau Ac Il Levant Ode Solution 6 Pdf

Iv Determine The Form For Yp But Do Not Evaluate The Constants 1 Y 5y Homeworklib
2
How To Solve Y 4y 5y 3e 2x Sin 2 X Quora
Solved The Form Of A Particular Solution Of Y 4y 2co Chegg Com

Nonhomogeneous Linear Equations Pdf Free Download

Solving Y 4y 3 Sin 2x Using Undetermined Coefficients Mathematics Stack Exchange

Emcf 10 Sp16 Emcf 10 Math 3321 Uh Studocu

Solve The Given Nonhomogeneous Linear Ode By Variation Of Parameters Or Undetermined Coefficients Show The Details Of Your Work Y 4y 5y E 2x Cscx Homework Help And Answers Slader
What Is The General Solution To Y 2y Y E X Cosx Quora

Solucionario Ecuaciones Diferenciales
Solve By The Method Of Undetermined Coefficients Y Y 4y X Cos 2x Sarthaks Econnect Largest Online Education Community

Documents Mx Eduv

Engineering Mathematics Notes

Engineering Mathematics Notes
Q Tbn 3aand9gct6gdhu6f9jcwatpmvklypakmsnscebdehl9ekya1kd4zohmihj Usqp Cau

Solved Give The General Solution Of The Differential Equa Chegg Com
What Is The Solution Of This Equation D 2 4d 3 Y E E X Quora

5 Solve The Initial Value Problem Y 4y 2 3e Y 0 0 Homeworklib

Answered Consider The Following Differential Bartleby

Y 4y 4cos 2x Y 0 0 Y 0 0 Free Math Help Forum

How To Solve Math Y 4y 5y E 2x Cos X Quora

Homework 1 Solutions Pdf Free Download

Nonhomogeneous Linear Equations Pdf Free Download
Web Viu Ca Pughg Spring19 Math251s19n01 Math251s19n01t2sol Pdf

General Solution Of Y 4y 5y 2y 0 Youtube

Solved Consider The Three Functions Y 1 X Cos 2x Y Chegg Com

1 Solve The Equation Y 4y 5y 0 With The Initial Conditions Y 0 Homeworklib

Solved Solve The Differential Equation By Undetermined Co Chegg Com

Solution Manual For Differential Equations An Introduction To Modern Methods And Applications 3rd Ed By Cndps135 Issuu

How To Solve Math Y 4y 5y E 2x Cos X Quora
Faculty Math Illinois Edu Ash De Desolschapter1 Pdf

Show That The Function Y E 2x A Cos 3x B

Solutions To Problems In Chapter One Mathematics

Engineering Mathematics Notes

5 Solve The Initial Value Problem Y 4y 2 3e Y 0 0 Homeworklib

Chapter 9 Differential Equations 9 1 Modeling With Differential Equations 9 2 Direction Fields And Euler S Method 9 3 Separable Equations 9 4 Exponential Ppt Download
2

Answered 2 Evaluate The Limit Using The Bartleby
Http Pages Mtu Edu Struther Courses Old Other Older 3521 10 Quizstuff Fromgil Week4 W5 Ch4 Pdf

Chapter 4 Linear Second Order Equations Ay By Cy 0 1 Where A B C Are Constants The Associated Auxiliary Equation Is R 2 B B 2 4ac 2a Pdf Free Download

Solved Solve The Initial Value Problem Y 4y 4y X Chegg Com
Solved Find The General Solution Of The Differential Equa Chegg Com

Solve The Differential Equation Or Initial Value Problem Using The Method Of Undetermined Coefficients Y 4y E X Cos X Y 0 1 Y 0 2 Homework Help And Answers Slader
Solved Solve Y 4y E X Cos 2x By Using The Method Chegg Com

Solve The Differential Equation Y 4y Sin 2x Using Variations Of Parameters Youtube

Answered Consider The Following Ode Y 4y What Bartleby

Undetermined Coefficients 4 Video Khan Academy

Y Y 0 Subject To The Initial Conditions Y 0 2 And Y O 1 Homeworklib
Http Www Cs Ucr Edu Craigs Ucla Courses 135 2 16s Hw 2 Sol Pdf

Solved Two Linearly Independent Solutions Of The Differen Chegg Com
2
Solve The Differential Equation Y 4y 3y Xsin 2x Quora

Documents Mx Eduv

Engineering Mathematics Ii Ma Ppt Download

Y 4y E X Find A Particular Solution Differential Equations Youtube
Http Www Math Ntu Edu Tw Cheng Teaching Calculus Ch18 Pdf

Solved Question 15 Give The General Solution Of The Diffe Chegg Com

Solved Exercises 4 4 Answers To Selected Odd Numbered Pro Chegg Com
Solved Exercises 12 3 Solve Each Differential Equation 1 Chegg Com

Mathematical Physics 2 H W 4 Y Y 6y Y 4y 4y Y Y0 Y 0 2 And Y 0 Subject To The Initial Homeworklib

Solved In Problems 9 And 10 Find An Interval Centered Abo Chegg Com
Conf Math Illinois Edu Robinson Math285 Sol Exam2 Pdf

Nonhomogeneous Linear Equations
Solve The Differential Equation Y 4y 3y Xsin 2x Quora

Two Linearly Independent Solutions Of The Differential Equation Y 4y 5y 0 Are Homeworklib
2
2

Documents Mx Eduv

Tutorial 2 Differential Equations Ssce 1793 Utm Studocu
Www Math Uh Edu Pwalker 3321f17t2rev Pdf

Chapter 08 2500 Solved Problems In Differential Equations Docsity

If Y A Cos 2x B Sin 2x Y 0 2y 0 0 A D Y 4y

Documents Mx Eduv
Q Tbn 3aand9gcrejnyjmpgmqy2bgukuskhxg4ska2jz77kk C6pbzqp7vk Fhtk Usqp Cau
Www Math Uh Edu Etgen Emcf 12 Sp Pdf
Differential Equations 2 Pdf Fourier Series Equations
Solve By The Method Of Undetermined Coefficients The Equation Y 4y X 2 E X Sarthaks Econnect Largest Online Education Community
Www Math Uh Edu Pwalker 3321f13t2rev Pdf
What Is The Particular Solution Of Math Y 2y 2y E X Sinx Math Quora

Chapter 9 Differential Equations 9 1 Modeling With Differential Equations 9 2 Direction Fields And Euler S Method 9 3 Separable Equations 9 4 Exponential Ppt Download
Www Math Miami Edu Dscheib Teaching Fall11 Map2302 Files Map2302 Quizzes Exams Files Exam2review Answers Pdf

9 Qfnswet1gkmm

Chapter 9 Differential Equations 9 1 Modeling With Differential Equations 9 2 Direction Fields And Euler S Method 9 3 Separable Equations 9 4 Exponential Ppt Download
Get Answer Differntial Equation Please Help Show Transcribed Image Text 17 Transtutors

Differential Equations Youtube
3 Ordinary Differential Equation Equations

How To Solve Math Y 4y 5y E 2x Cos X Quora

Solve The Differential Equation Y Y 2y Cos X Sin 2x Youtube

Chapter 07 2500 Solved Problems In Differential Equations Docsity

Solved Solve The Following Ivp A Y 5y 6y E X Chegg Com
Solved 1 1 Problems 5 6 Y Y 2e Y Ex E X Y 4y Chegg Com

Differential Equation