X2yyey

Then Quad X 2 Y Number 10 Y X According To The Question Begin Aligned 10 Y X 36 10 X Y 9 X 9 Y 36 X Y 4 X 2 Y 2 Y Y 4 End Aligned

Misc 2 Verify Given Function Is A Solution Of Differential

Solving Separable Differential Equations Calculus Socratic

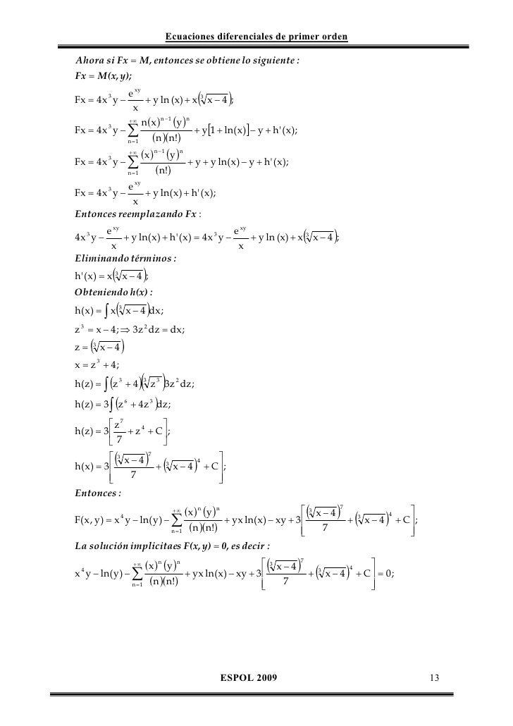
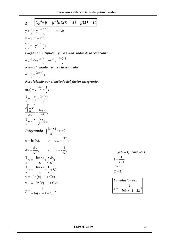
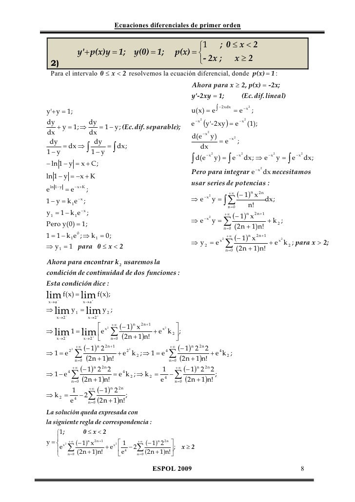
Solucionario Ecuaciones1

Ordinary Differential Equations Springerlink

Implicit And Logarithmic Differentiation

Worksheet Two Solutions Math 1000 Calculus I Studocu

Numerical Methods Oridnary Differential Equations 1

Implicit Differentiation
Hhsmacintyre Weebly Com Uploads 1 0 9 3 Review Pdf

Differential Equation 1st Order Reducible To Separable Forms 2 Of 7 Example 1 2xyy Y 2 X 2 0 Youtube

Misc 2 Verify Given Function Is A Solution Of Differential
Solved In Problems 1 26 Solve The Given Differential Equa Chegg Com
Solved Consider The Differential Equation 2yy E X 1 Chegg Com

Chapter 1 Maths 3

How To Solve Y Y Quora
Secure Media Collegeboard Org Digitalservices Pdf Ap Ap16 Calculus Ab Q4 Pdf

Implicit And Logarithmic Differentiation

The Area Bounded By The Curve X 2 Y Y 2 And Y Axis Is Youtube

Orthogonal Trajectory Wikipedia
Http Pue Kar Nic In Pue Pdf Files Recogn Ipu Iiqb 35 Ch9 Pdf
Pdf4pro Com File C1a96 Hus003 Mathd Hw1 Pdf Pdf
Solved Consider The Differential Equation 2yy E X 1 Chegg Com
Solved Solve Using Separation Of Variables X 2yy E Y Chegg Com

Solved Solve The Initial Value Problem 2yy 3 Y 2 3 Chegg Com

Full Lecture On Implicit Differentiation For Calculus 1 Calculus Differentiation Email Subject Lines
1

Solved Solve The Initial Value Problem 2yy 2 Y2 2x Chegg Com

The Shooting Method For The Solution Of One Dimensional Bvps Springerlink

Solucionario Ecuaciones1

Solucionario Ecuaciones1

Please Show Detailed Work Up Solve The Ivp J 3 1 6 70 Homeworklib

Implicit Differentiation

Answered I Am Confused On This Problem Bartleby

Decomposition Of Ordinary Differential Equations Topic Of Research Paper In Physical Sciences Download Scholarly Article Pdf And Read For Free On Cyberleninka Open Science Hub
Www Math Utah Edu Gustafso 2250separableeq Pdf

Solucionario Ecuaciones1

Pdf Advanced Engineering Mathematics Solutions Manual Ahmed Shaghasi Academia Edu

Power Series Solution For Y 2y Y X Y 0 0 Y 0 1 Youtube

The Solution Of The Differential Equation E X X 1 Dx Ye Y Xe X Dy 0 With Initial Cond Youtube

If Y X X Prove That D 2y Dx 2 1 Y Dy Dx 2 Y X 0 Brainly In

Example Hence Ppt Download

Solved Solve The Initial Value Problem 2yy 2 Y 2 2 Chegg Com

Solved Entered Answer Preview Result Xa2 Y2 Correct 2 Chegg Com

2 Integrating Both Sides Pdf Free Download

Answered Y Cx Y E Y Sin Xy Ny Y Bartleby

Exact Equations Example 3 Video Khan Academy
Http Www Unige Ch Math Folks Sutti Pde 3 Pdf
First And Higher Order Ode Exercises Algebra Analysis

Solucionario Ecuaciones1

Implicit Differentiation Advanced Example Video Khan Academy

Form The Differential Equation Of The Family Of Circles In The First Quadrant Which Touch The
2

Solved Olve The Initial Value Problem 2yy 2 Y 2 2x Ref Chegg Com

Verify Ax 2 By 2 1 Is Solution Of Differential Equation X Yy2 Y1

Misc 2 Verify Given Function Is A Solution Of Differential
Http Web Yonsei Ac Kr Ezaid Board Download Aspx Method Download Pfkhomepageno Fkboardentrypkno 3 Attachefilechoice 1 Pkno 5599
2

Solucionario Ecuaciones1

Implicit Differentiation

Substitute This In Equation 1 We Get X 2 Y

Ppt Drill Find Th E Derivative Of The Following Powerpoint Presentation Id
Http Www Wfisd Net Cms Lib Tx Centricity Domain 872 Polynomials Key Pdf
Http Www Math Wsu Edu Math Faculty Remaley 2fa14oldex2sol Pdf
Solved Find All Solutions Of The Differential Equations Chegg Com

Solutions To Problems In Chapter One Mathematics

Answered Use The Guidelines Of This Section To Bartleby

Calculus Problems Derivatives Implicit Differentiation Examples Youtube

Solved Solve The Initial Value Problem 2yy 5 Y 2 5 Chegg Com
What Is Dy Dx Of Y 2 3 X 2 Y Quora

Answered I Am Confused On This Problem Bartleby
2

1 Point Solve The Initial Value Problem 2yy 3y 3x With Y 0 4 A To Solve This We Homeworklib

Numerical Methods Oridnary Differential Equations 1

Which Of The Following Expressions Are Polynomials In One Variabl

Separable Differential Equation Example 2 Youtube

Solved Put Each Equation In Standard Exponential Form A Chegg Com
Tutorial Ode 1718 Trims 2 Ordinary Differential Equation Rates Free 30 Day Trial Scribd

2500 Solved Problems In Differential Equations 2500 Solved Problems In Differential Docsity
What Is The Solution Of This Equation Y Y Y 2 Yy E X Quora

Changing The Subject Of A Formula With Factorisation Link Ppt Download

Chapter 04 2500 Solved Problems In Differential Equations Docsity
The Differential Equation Of The Family Of Curves X 2 4b Y B B R Is 1 X Y 2 X 2yy Sarthaks Econnect Largest Online Education Community
Onlinelibrary Wiley Com Doi Pdf 10 1111 J 1467 9590 09 X

Ex 9 3 2 Form Differential Equation Y2 A B2 X2

Solucionario Ecuaciones1
Http Www Math Wsu Edu Math Faculty Remaley 2fa14oldex2sol Pdf

Answered I Am Confused On This Problem Bartleby
2

Ordinary Differential Equations Springerlink

Solved Solve 2yy E Y 2 X 2 2x Chegg Com

Solved Solve The Initial Value Problem For Y X X 2 Y Y Chegg Com

Separable Differential Equations Example 3 2yy X Sqrt X 2 16 Old Videos Youtube
2

Solved Problems Part9 Solve The Following Equations Probl Chegg Com

E Is 3 And Also X 2 Y Y X Is Mean Of All And Y Is Mean Of A
Unit 03 Differential Equations Doc Logical Truth Equations

Implicit And Logarithmic Differentiation
Suppose A Dy Dx For The Curve X 2 Y 2 4 At 2 2 B Dy Dx Sarthaks Econnect Largest Online Education Community

If Y Cos M Cos 1 X Show That 1 X 2 Y X Y M 2 Y 0