Infinite Sum Of 1n2
Basel Problem Wikipedia

Infinite Sum 2 N 2 3n N 1 To Infinity Youtube

Solved Consider The Infinite Series Sigma Infinity N 0 Chegg Com

7 Infinite Series 7a Basic Definitions

Sum To N Terms Of Special Series Study Material For Iit Jee Askiitians

Does Sum 1 N 2 Converge Week 2 Lecture 11 Sequences And Series Youtube
Finite sum ∑ = ∞ = − ∑ = = − +.

Infinite sum of 1n2. $$\sum_{n=1}^{\infty} \frac{n^2+3n+1}{n^2(n+1)^2}$$ Sorry for bumping up the post. The sum of an infinite series is defined as the limit of the sequence of partial sums. The sequence of partial sums of a series sometimes tends to a real limit.
This is one of the most useful series:. In your example, the finite sums were 1 = 2 - 1/1 3/2 = 2 - 1/2 7/4 = 2 - 1/4 15/8 = 2 - 1/8 and so on;. The label series is just another name for a sum.
Compute answers using Wolfram's breakthrough technology & knowledgebase, relied on by millions of students & professionals. The sum of infinitely many terms is given by S = 3. The n-th partial sum of a series is the sum of the first n terms.
If there are discontinuities, the harmonics drop off as 1/n, if the derivative is discontinuous, the harmonics drop off as 1/n 2. Using the definition of an integral, we can evaluate the limit as goes to infinity. On this page I shall collect a few appealing formulas whose meaning I hope will be intuitively clear even without formal justification.
The first line shows the infinite sum of the Harmonic Series split into the sum of the first 10 million terms plus the sum of "everything else.'' The next equation shows us subtracting these first 10 million terms from both sides. It's the sum of the first, I guess you could say the first, infinite terms. Of the 3 spaces (1, 2 and 3) only number 2 gets filled up, hence 1/3.
Although this sum is a slowly convergent sum, the sum of the first 40 terms (out to 1/(40^2 + 1) is approx. And they say write a rule for what the actual Nth term is going to be. INFINITE SERIES KEITH CONRAD 1.
- Week 2 - Lecture 11 - Sequences and Series - Duration:. And they tell us of the formula for some of the first n terms. Jim Fowler 119,441 views.
When the "sum so far" approaches a finite value, the series is said to be "convergent":. This is a geometric series with a common ratio of a and a scale factor of 1. This would be the sum of the first 3 terms and just think about what happens to this sequence as n right over here approaches infinity because that's what this series is.
Infinity, as an informal concept, is associated with endless repetition. We wish to find math\displaystyle S = \sum_{n=1}^{\infty}{\big(e^{\frac{1}{n}} - e^{\frac{1}{n+1}}\big)}/math Let’s take a. By using this website, you agree to our Cookie Policy.
Derivatives - Power, Product, Quotient and Chain Rule - Functions & Radicals - Calculus Review -. The above sum is just with a = 1. Solve this infinite series Relevant Equations:.
Autoplay When autoplay is enabled, a suggested video will automatically play next. Euler found the exact sum to be π 2 / 6 and announced this discovery in 1735. You can easily convince yourself of this by tapping into your calculator the partial sums.
Here is one a bit tedious way. In this video, i solve the Basel Problem with a unique Gamma Digamma special never before on Youtube method of complex analysis and zeta regularization. For an infinite series the index of summation i takes the values 1, 2, 3, and so on, without end.
Likes benorin and etotheipi. The infinite sum is 1 / (1 - a), but only if a has an absolute value less than 1. Elementary Proof - Duration:.
This is an arithmetic series, and the equation for the total number of times is (n - 1)*n / 2. Free series convergence calculator - test infinite series for convergence step-by-step. Infinite Sum of 1/n^2 Variant.
Does sum 1/n^2 converge?. Many applications can be found throughout mathematics. Displayed are the cases k = {2 bi-, 3 tri-, 4 quadrinomial}, up to n=5) more series :.
\text {Compute } \displaystyle\sum_ {n=1}^ {\infty} \dfrac {1} {n^2+1}. 2 S n = (1 + n) + (2 + n. The nth finite sum is 2 - 1/2^n.
Exact Integrals as Limits of Sums. I think it should really be:. Each term is a quarter of the previous one, and the sum equals 1/3:.
*A Let’s give it a shot, eh?. The wavelengths of the overtones of a vibrating string are 1 / 2, 1 / 3, 1 / 4, etc., of the string's fundamental wavelength.Every term of the series after the first is the harmonic mean of the neighboring terms;. Aug , #9 etotheipi.
The Basel problem asks for the exact sum of this series (in closed form), as well as a proof that this sum is correct. Infinite Sum of 1/n^2 :. Thus, for infinite geometric progression a , ar , ar 2 , , if numerical value of common ratio r is less than 1, then.
His arguments were based on manipulations that were not justified at the time, although he. Let S represent the desired sum, so S = 1/2 + 2/(2^2) + 3/(2^3) + … From the second term onwards lets take. If this happens, we say that this limit is the sum of the series.
An in nite series is a \sum" with. We can check a series by looking for discontinuities in the signal or derivative of the signal. If not, we say that the series has no sum.
Sum of powers nX−1 k=0 km = 1 m +1 Xm k=0 m +1 k!. 12 INFINITE SEQUENCES AND SERIES 12.1 SEQUENCES SUGGESTED TIME AND EMPHASIS 1 class Essential material POINTS TO STRESS 1. Well, let's think about what this.
Infinite Sum Geometric Series - Duration:. (the mth coefficient in the nth row gives the frequency of the sum of points with value m+n-2, shown after a throw of n-1 fair k-sided dice;. Please like, share and subscribe to my.
X ≥ 1. It's the sum of all, you have an infinite number of terms here. Eremenko November 5, 13 In the lectures, the formula X∞ n=1 1 n2 = π2 6 (1) was derived using residues.
Jim Fowler 114,840 views. The exercise was to evaluate sum(1 to oo) 1/(n^2+a^2) for a>0. Showing a Series Diverges using Partial Sums - Duration:.
Introduction The two basic concepts of calculus, di erentiation and integration, are de ned in terms of limits (Newton quotients and Riemann sums). - Narrator Nth partial sum of the series, we're going from one to infinity, summing it a sub n is given by. I know that using the p-series, it should be convergent, but I'm not sure how to explain the -1 part.
Does the -1 have anything to do in the problem, since n starts at 1 and would be 1/0 at n=1?. This list of mathematical series contains formulae for finite and infinite sums. Here's a fun little brain wrinkle pinch for all you non-math people out there (that should be everyone in the world*):.
Related Symbolab blog posts. The formula for the sum of an infinite geometric series with latex-1<r<1/latex is latexS=\frac{{a}_{1}}{1-r}/latex How To:. The sum of an infinite geometric series is given by the formula where a 1 is the first term of the series and r is the common ratio.
So it is interesting and useful to see how Euler found. This sum alternates between ± π for z ∈ N :. - Week 2 - Lecture 11 - Sequences and Series - Duration:.
Infinite Sum (Telescoping Series):. Okay, I didn't distribute 2 to all the terms in the denominator!. The basic definition of a sequence;.
Evaluate the Infinite Sum of n^2/(1+n^3) Someone recently asked for the sum of the alternating series inf n+1 n^2 SUM (-1) ----- n=1 1 + n^3 Knopp's book on infinite series gives this closed form expression for the series (see below), but it's interesting to notice that for n>1 we have n^2 1 1 1 1 1 ----- = --- - --- + --- - ---- + ---- -. Gamma Digamma 17 views. Its name derives from the concept of overtones, or harmonics in music:.
First of all, the infinite sum of all the natural number is not equal to -1/12. If a is greater than or equal to 1, the sum is infinite. The meanings of the terms “convergence” and “the limit of a sequence”.
Just as this sum becomes is less cumbersome when written as \(\sum_{n=0}^{k}\left ( \frac{1}{2} \right )^n\) the product \N(N-1)(N-2)\cdots (N-n+1)\ is less awkward when we write it as \(\prod_{j=0}^{n-1}(N-j)\). A series that has no last term, such as. This website uses cookies to ensure you get the best experience.
A capital pi (\(Π\)) is used to denote a product in the same way that a capital sigma (\(Σ\)) is used to denote a sum. Figure 5.13 The sum of the areas of the rectangles is less than the sum of the area of the first rectangle and the area between the curve f ( x ) = 1 / x 2 f ( x ) = 1 / x 2 and the x x -axis for x ≥ 1. A series can have a sum only if the individual terms tend to zero.
It can be used in conjunction with other tools for evaluating sums Sums of powers = = (+) See also triangle number. Even more succinctly, the sum can be written as ∑ k = 1 n (2 k. 1.052, which is still reasonably under the actual sum 1.077 (to three decimal places) from my answer quoted above.
The sum of all natural numbers, from one to infinity, is not a. In addition to these is a third fundamental limit process:. I feel a bit ashamed that there's a mistake in the code block after getting two likes.
But there are some series. In mathematics, the harmonic series is the divergent infinite series ∑ = ∞ = + + + + + ⋯. Let's add the terms one at a time.
The difference between the sequences {an} and the functional value f (n). Compute ∑ n = 1 ∞ 1 n 2 + 1. There probably is a simpler way.
For math, science, nutrition, history, geography, engineering, mathematics, linguistics, sports, finance, music… Wolfram|Alpha brings expert-level knowledge and. Given an infinite geometric series, find its sum. The Fourier Series can also be represented in a polar form which is more compact and easier to manipulate.
Even complex numbers where not commonly used in Euler’s time. This converges to 2 as n goes to infinity, so 2 is the value of the infinite sum. Bkn m+1−k integer n ≥ 1 Thus nX−1 k=0 km = nm+1 m +1 + lower order terms Formulas relating factorial powers and ordinary powers Stirling numbers of xn = X k (n k) xk integer n ≥ 0 the second kind Stirling numbers of xn = X k " n k # xk integer n ≥ 0 the first kind Stirling numbers.
The infinite series above happens to have a sum of π 2 /6. Infinite geometric series, infinite, finite. This discussion board is a place to discuss our Daily Challenges and the math and science related to those challenges.
Euler found this in 1735, 90 years before Cauchy introduced residues. Does sum 1/n^2 converge?. Itex\frac{n^{2} + 2n}{2n^{2} + 4n + 2}/itex But because we have 2 as the highest power in both the denominator and numerator, can't we use the ratio of the coefficients and just say that the expression goes to 1/2?.
The get larger and larger the larger gets, that is, the more natural numbers you include. Formula for the Sum of an Infinite Geometric Series. The most basic, and arguably the most difficult, type of evaluation is to use the formal definition of a Riemann integral.
Therefore, the series ∑ n = 1 ∞ 1 / n 2 ∑ n = 1 ∞ 1 / n 2 converges. ∑ (n=1)^∞ of (2/n(n+2)) Loading. The sum of the series is approximately equal to 1.
How Euler found the sum of reciprocal squares A. If the size of the list is N = 5, then you do 4 + 3 + 2 + 1 = 10 swaps -- and notice that 10 is the same as 4 * 5 / 2. (By the way, this one was worked out by Archimedes over 20 years ago.) Converge.
The sum gives following results for some rational s = p/q :. Thus the value of the infinite sum is a / (1-r), and this also proves that the infinite sum exists, as long as |r| < 1. The sum of n=1-->infinity of 1 / (n^2 - 1)?.
Infinite Sums and Products - examples and attribution.

Solved Use The Alternating Series Estimation Theorem To F Chegg Com
Telescoping Series Wikipedia
Basel Problem Wikipedia

Solved 1 Point Let S Summation N 1 To Infinity An Be Chegg Com

Worked Example P Series Video Khan Academy

Solved Let S S 2 N2 An Be An Infinite Series Such That Chegg Com

Convergent Divergent Geometric Series With Manipulation Video Khan Academy

The Harmonic Series And Friends Almost Surely A Math Blog
Basel Problem Wikipedia

Infinite Sum Telescoping Series N 1 Of 2 N N 2 Youtube

What Is The Sum Of The Series Math 1 1 2 1 3 1 4 1 5 Math Up To Infinity How Can It Be Calculated Quora
Basel Problem Wikipedia
Riemann Sums And The Definite Integral
Q Tbn 3aand9gcrd4d6tokz 0ooxspev62pcnvpf9qk2fmfawid3ihaan9xo47 T Usqp Cau

Solved Problem 8 This Problem Is Motivatived By The Infi Chegg Com

Determine Whether The Series Sum N 1 Infty 1 N 1 Frac 1 N N 2 Converges Absolutely Or Converges Conditionally Or Diverges Mathematics Stack Exchange

The Sum Of The First N Terms Of An Arithmetic Sequence Video Lesson Transcript Study Com
Prove That The Given Infinite Sum Has The The Given Value Stumbling Robot

Find The Limit Of 1 N 1 1 N 2 1 N 3 1 6n As N Tends To Infinity Youtube
Basel Problem Wikipedia
Infinite Series
Prove That The Sum From 1 To Of 2n 1 N2 N 1 2 1 Stumbling Robot

The Ramanujan Summation 1 2 3 1 12 By Mark Dodds Cantor S Paradise Medium

Solved 1 Pt Consider The Power Series Sum N 1 To Infi Chegg Com

Partial Sums Formula For Nth Term From Partial Sum Video Khan Academy

Answered Let S An Be An Infinite Series Such Bartleby

Infinite Series

1 2 3 4 Wikipedia

Ex 9 4 2 Find Sum 1 X 2 X 3 2 X 3 X 4 3 X 4 X 5

Math Calculus I Part Vii More Tests For Convergence Power Series Ppt Download

Mathematical Explanation Of Mathematica Summation Sum N 1 Infty Frac 2n 1 2n 2 Zeta 2n Mathematics Stack Exchange

I Don T Understand This Explanation For Sum N 0 Infty 1 N 5n 1 Why Test For Convergence Divergence Again If The Limit Comparison Test Confirms That Both Series Are The Same Socratic

Infinite Series
Harmonic Series Mathematics Wikipedia

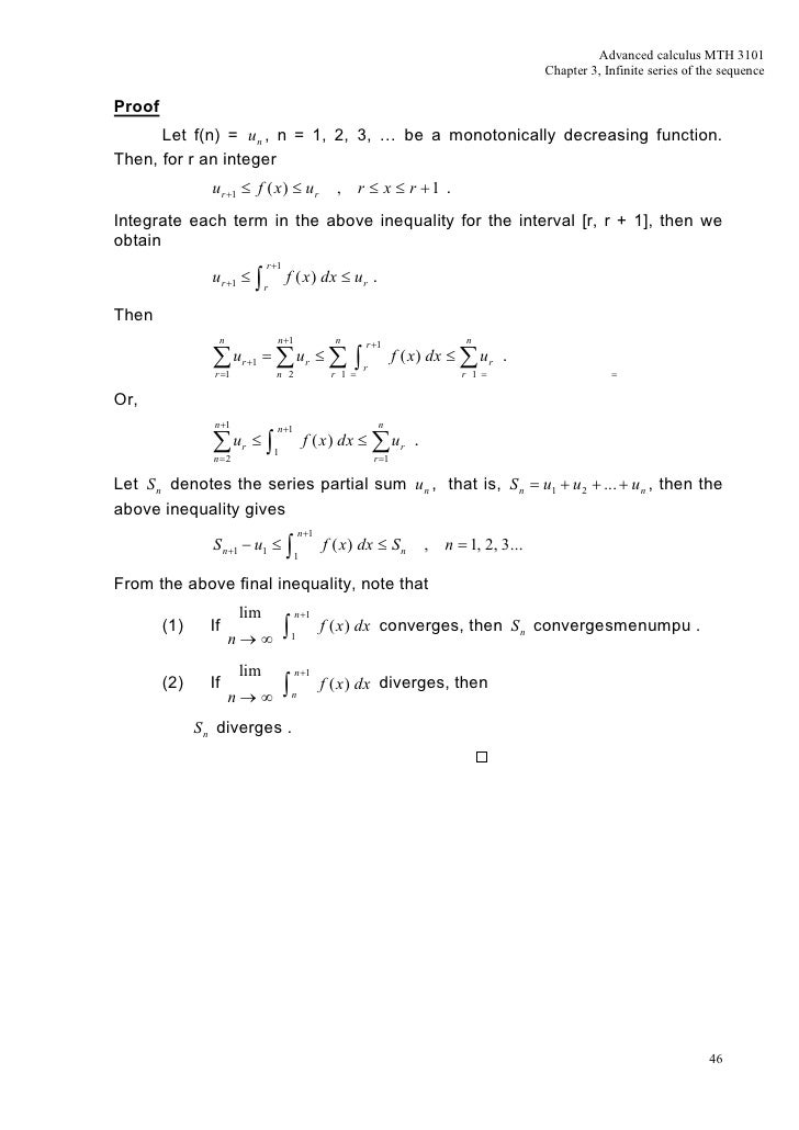
Mth3101 Advanced Calculus Chapter 3
Basel Problem Wikipedia

Learn How To Calculate Sum Summation Of Series Tutorial Formula Definition Example

Sum Of 1 N 2 Youtube
How To Evaluate The Sum Of N 2 2 N From N 1 To Infinity Quora
Q Tbn 3aand9gcs38bham4lp8on3ce2yk7nzepsxnqj6uxoxtwn4vvl5c2pbyhsv Usqp Cau
Infinite Series

Example 1 Find Partial Sums Solution S 1 1 2 0 5 S 2 S 3 Find And Graph The Partial Sums S N For N 1 Ppt Download

I Don T Understand This Explanation For Sum N 0 Infty 1 N 5n 1 Why Test For Convergence Divergence Again If The Limit Comparison Test Confirms That Both Series Are The Same Socratic

If The Nth Partial Sum Of A Series N 1 An Is Sn 3 N2 N Find An And N 1 An Homework Help And Answers Slader
Infinite Series
Divergence Of The Sum Of The Reciprocals Of The Primes Wikipedia

Answered Calculate The Sum Of These Convergent Bartleby

How To Evaluate The Sum Of N 2 N From N 1 To Infinity Quora

11x1 T10 06 Sum Of A Geometric Series

Calculating Infinite Sums Of Power Series Mathematics Stack Exchange

Misc 23 Find Sum Of Series 3 7 13 21 31 Miscellaneous
Q Tbn 3aand9gctfezlemn15ufmzmvbxoosov Oz Td Gz5uj0cfsjxavyylod Usqp Cau

Factorial Sums From Wolfram Mathworld
Geometric Series Wikipedia

Let Sigma Denotes The Sum Of The Infinite Series Sum N 1

Infinite Series

I Don T Understand This Explanation For Sum N 0 Infty 1 N 5n 1 Why Test For Convergence Divergence Again If The Limit Comparison Test Confirms That Both Series Are The Same Socratic
Geometric Series Wikipedia

Solved 2 The Fourier Series Of F X X For P X P I Chegg Com

How Do You Find The Sum Of The Infinite Geometric Series Sigma 2 2 3 N From N 0 To Oo Socratic

If A N 1 Frac 3 A N 2 A N 1 And A 1 1 Then What Is Lim Limits N To Infty Left Frac 4 3 Right N 3 A N Mathematics Stack Exchange

The Sum Of Infinite Terms Of The Series 12 1 2 Left 1 Frac

John Carlos Baez To Use Euler S Trick You Need An Infinite Series Then Write Each Term As A Product You May Need To Fiddle Around A Bit To Get This

Infinite Sum Of Frac X N N 1 Mathematics Stack Exchange
Http Www Math Tamu Edu Austin Section10 2 Modified Pdf
5 2 Infinite Series Calculus Volume 2 Openstax
Prove A Formula For The Sum From K 1 To N Of Cos Kx Stumbling Robot

Ppt What Is The Sum Of The Following Infinite Series 1 X X 2 X 3 X N Where 0 X 1 Powerpoint Presentation Id

Infinite Series

1 2 1 4 1 8 1 16 Wikipedia

Find The Sum Of Infinite Terms Of The Series 1 1 2 3 1 2 3 4

Solved Determine The Exact Sum Of The Following Series Chegg Com

Tips And Tricks To Solve Sequences And Series Questions Advanced

Solved Let S Sigma Infinity N 1 A N Be An Infinite Se Chegg Com
Basel Problem Wikipedia

Solved Let S Sum N 1 To Infinity An Be An Infinite Se Chegg Com

Solved Sigma N 0 Infinity 1 N 3 2 N 6 1 3 2 Solve Th Chegg Com
Sum Of N N Or N Brilliant Math Science Wiki
Establish A Formula For 1 1 4 1 1 9 1 1 N 2 Stumbling Robot

Solved Let S Look At An Infinite Series With A Finite Sum Chegg Com
5 4 Comparison Tests Calculus Volume 2 Openstax

Infinite Series Sum 2 1 N 1 E N E N Sum 1 N 1 Sech N Youtube

Telescoping Series Finding The Sum Example 1 Youtube
What Is The Sum Of The Series Math 1 1 2 1 3 1 4 1 5 Math Up To Infinity How Can It Be Calculated Quora
What Is The Sum Of The Series Math 1 1 2 1 3 1 4 1 5 Math Up To Infinity How Can It Be Calculated Quora

Ex 9 4 8 Find Sum Of Series Whose Nth Term Is N N 1 N 4
Q Tbn 3aand9gcrjcqhlxnke7bsflhvq62lefcisyj0wm Zjywt7van4kp9n1miu Usqp Cau

Warm Up 2 Consider The Series A What Is The Sum Of The Series B How Many Terms Are Required In The Partial Sum To Approximate The Sum Of The Infinite Ppt Download

Limit Of An Infinite Summation Mathematica Stack Exchange

Series Solutions Taking Derivatives And Index Shifting

Proof By Intuition Done By Leonhard Euler Sum Of 1 N 2 Feat Max Youtube
Sum Of N N Or N Brilliant Math Science Wiki
Basel Problem Wikipedia
Solved Find The Sum Of The Infinite Series 1 N2 4n 3 3 Chegg Com
Will Series N N 1 Converge Or Diverge As N Tends To Infinity Quora

Sigma N 1 Infinity 2 N 2 4n 3 Youtube

Solved 4 Consider The Three Infinite Series low N 1 Chegg Com

Infinite Series Sum 2 1 N 1 E N E N Sum 1 N 1 Sech N Youtube