Y 2y+yex

Thomas Calculus 12th Edition Thomas Solutions Manual

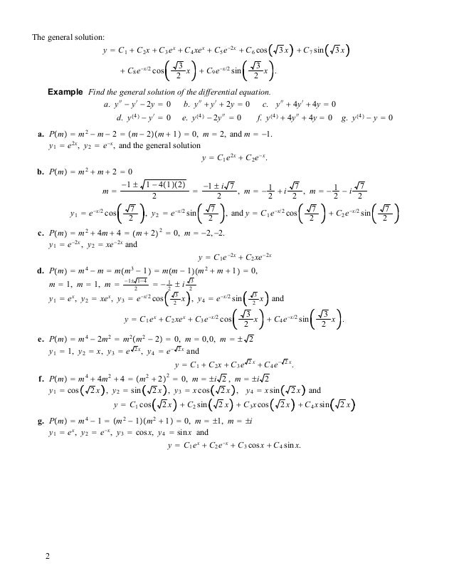
Differential Equations Solved Examples Y 2y E T T 2 1

Q 5 Solve The Initial Value Problems A Y 4y 4y 0 Y 0 1 And Y 0 1 B Brainly In

Answered Solve The Differential Equation By The Bartleby

How To Solve The Ordinary Differential Equation X 2 Y 2 X Y 2y X 4 Mathrm E X Mathematics Stack Exchange
2
This function is composed of two functions, the function f(s) = tan(s) and g(s) = s 2 + 1.

Y 2y+yex. ^∵齐次方程 2113 y"-2y ` +y=0的特征方程是 5261 r²-2r+1=0,则r=1(二重 4102 根) ∴此齐次方 程的 通解 是y=(C1x+C2)e^x (C1,C2是任意常数) ∵y=x(lnx-1)e^x是原方程的一个解 1653 ∴原方程的通解是y=(C1x+C2)e^x+x(lnx-1)e^x. Y= vxalınırsa,v+ xdv dx = 3 2v 2 1 2 vveyax dv dx = 3 2 1 v v veyalnx3 + ln. Y" + 2y' + y = e-x.
Home » Blog » Find the general solution of y′′ + 2y′ + y = e-x/x2. Divide y, the coefficient of the x term, by 2 to get \frac{y}{2}. Variation of parameters is a method to solve the second-order linear.
Its Math 307 class and about the differential equation Could you please show me the step by step of physics and math required to s. Find dy/dx if y = tan(x 2 + 1). General Solution · General solution.
This gives us ;. Purchase An Answer Below flash243. 追问: 特解的设定有什么规律么? 追答: 有啊。如果不麻烦的话,你去青一色大学生吧,找个学习帖,里面有的。.
This OCW supplemental resource provides material from outside the official MIT curriculum. Variation of Parameters Wednesday, April 22 Variation of Parameters To solve ay00+ by0+ cy = G, for some function G(x):. Its a math 307 about the differential equation could you help me solve this.
I have used the variable s here rather than x because the variable is only used to help describe how the function operates. Are the two solutions you found the same?. Y''+ 2y'+ y = e^(−x) I know the answer is.
Y" + 2y' + y = e-x. Find the general solution of the second-order differential equation. Find a particular solution of \(y''-2y' +y = \sin (x^2)\text{.}\) It is OK to leave the answer as a definite integral.
Are solutions to x 2 y'' - 3xy' + 4y = x 2 ln x. Don't show me this again. Get 1:1 help now from expert Calculus tutors Solve it with our calculus problem solver and calculator.
Chapitre 7 EQUATIONS DIFFÉRENTIELLES Enoncé des exercices 1 Lesbasiques Exercice7.1 Soit f(x)= ex ex+1,donner une équationdifférentielle dont fest solution. Y''-2y'+y = (e^x )arctanx Find the general soln to this equation .Plz show necessary procedures to make me understand !!!. Compute answers using Wolfram's breakthrough technology & knowledgebase, relied on by millions of students & professionals.
Answer to Solve the initial value problem xy' + y = e^x, y(l) = 2,t >0. In this section we introduce the method of variation of parameters to find particular solutions to nonhomogeneous differential equation. Let z = y' - y.
Thus, To find a …. Y'' - 2y' + y = (y' - y)' - (y' - y) = z' - z. You can get a particular solution by variation of parameters.
So, the equation becomes, under this substitution:. See also Exercise 2.5.10. Z' - z = e^x.
We studied the first-order linear homogeneous equation y' + p(x)y = 0 (1) Chapter 2, where p( x) is continuous on the x interval of interest, I, and found -solution to be. Answer to solve the initial value problem y''' - 2y'' + y' = xe^x +5 y(0) = 2 y''(0)= -1 MATH 4/567 Design of Experiments Based on the book:. 定数係数の2階非同次微分方程式について、y" +2y' +y = (e^(-x))*ln(x) のような、右辺にln(x)を含む方程式についてはどのようなアプローチをするべきでしょうか。 ln(x)については、解いている感じだとln(x)に対してx^2を乗じた A*(x^2)*ln(x) を特殊解としておくと.
Y=(1/2)*x^2*e^(-x) But I do not know how to get there. Please show all work, will rate, thanks!. Homogeneous solution yh.The recipe for constant equation y′′ + y = 0 is applied.
Academia.edu is a platform for academics to share research papers. Solve the following equation by variation of parameters ?. MIT OpenCourseWare is a free & open publication of material from thousands of MIT courses, covering the entire MIT curriculum.
In the last video we had this second order linear homogeneous differential equation and we just tried it out the solution y is equal to e to the rx. This is an exercise in using the chain rule. Solve the differential equation y''-2y'+y=e^x using the Undetermined Coefficients method.
4.6 Variation of Parameters 197 Example (Variation of Parameters) Solve y′′ +y = secx by variation of parameters, verifying y = c1 cosx+c2 sinx+xsinx+cos(x)ln|cosx|. Find the general solution of the second-order differential equation If the solution is not valid everywhere, describe the interval on which it is valid. Solving $$ (*)\;\;y'''+2y''-y'-2y= e^x+x^2 $$ By the method of undetermined coefficients:.
Let's try a slightly different problem. 72 words, 1 picture:. F is the tangent function.
General Solution Homogeneous Equation:. Get 1:1 help now from expert Other Math tutors. For math, science, nutrition, history.
Asking for help, clarification, or responding to other answers. Y'' + 2y' + y = e⁻ˣ Ln x Esta Ecuación Diferencial, la vamos a resolver, aplicando Variación de Parámetros cuya Formas es:. Y" + 2y' + y = e-x.
Given that y 1 = x 2 and y 2 = x 2 ln x. Solve the equation using Variation of Parameters {eq}y'' - 2y' +2y = e^x \ tan \ x {/eq} Variation Of Parameter:. - Voiceover Now that we are familiar with Euler's method, let's do an exercise that tests our mathematical understanding of it, or at least the process of using it.
Using variation of parameters find a particular solution of \(y''-2y'+y = e^x\text{.}\) Find a particular solution using undetermined coefficients. Find the particular solution for {y}''+2y'+y=e^x By signing up, you'll get thousands of step-by-step solutions to your homework. To the corresponding homogeneous differential equation, find the general solution to the nonhomogeneous differential equation.
First, we find the solution to the homogeneous equation:. Thanks for contributing an answer to Mathematics Stack Exchange!. Then add the square of \frac{y}{2} to both sides of the equation.
Bader, I think you want to find dy/dx. In this video I will find the solution to y'-y=e^x, with initial value y(0)=1 (a linear n. No enrollment or registration.
Please be sure to answer the question.Provide details and share your research!. Enrique Mateus Nieves Doctorado en Educación Matemática sen 3x ln sen 3x 36 1 x cox 3x 12 1 y yc yp c1 cos 3x c2 sen 3x - Ejercicios:. 16 February 15, 06:15:.
The general solution of the homogeneous equation is given by Theorem 8.7 with and. Find linearly independent solutions y 1;y 2 to ay00+ by0+ cy = 0. We give a detailed examination of the method as well as derive a formula that can be used to find particular solutions.
I keep getting really strange answers can please someone help me solve this diff equations thanks!. 2 people have bought this answer. Asked May 11,.
This step makes the left hand side of the equation a perfect square. The homogeneous equation has solutions y1 = e^(-2x) and y2 = e^(-x). Y' + 2y = 2e^x.
Dy dx = 3x2 3y2 2xy = 2 x y 1 2 y x. Решу.РФ → Математика → Филиппов → Линейные уравнения с постоянными коэффициентами. Hola Roberto Carlos, vamos a resolver los ejemplos paso a paso.
Differential Equations with Linear Algebra (don't use Linear Algebra please). Solve the following equation by variation of parameters ?. Find a particular solution of the differential equation.
Calculus Q&A Library Solve the following equation by variation of parameters ?. Set W = y 1 y0 2 y 2y 0. If the solution is not valid everywhere, describe the interval on which it is valid.
Find the general solution of y′′ + 2y′ + y = e-x /x 2. Thank you for any help :). I get ( if u_1 e^x + u_2 xe^x) u_1 as (-x^2e^2)/2 and for u_2 e^2x.

Otvety Mail Ru Pomogite Najti Reshenie Zadachi Koshi Y Y 2y E 2x Y 0 2 Y 0 1 3

Variation Of Parameters Y 2y Y E X 1 X 2 Youtube
Solved Find A Particular Solution Y 3y 2y E 3x L Chegg Com
Pages Mtu Edu Struther Courses Old Other Older 3521 10 Quizstuff Q5 Ch 4 Pdf

Chapter 1 1st Order Linear Differential Equations
2

Solved Solve The Differential Equation By Variation Of Pa Chegg Com
Find The General Solution Of Y Y 2y Ex 1 Ex Stumbling Robot

5 Solve The Initial Value Problem Y 2y Y 0 Y 0 1 Y 1 0 A Homeworklib
Http Web Thu Edu Tw Billshen Www 12ee M01 Key Pdf

If Y Ex Sinx Cosx Prove That D2y Dx2 2dy Dx 2y 0 Please Math Continuity And Differentiability Meritnation Com

How To Solve Y Y 2y E 3x Using Variation Of Parameters Quora
2 4 11 26

Find The General Solution Of The Given Differential Equation Y 2y Y Et 1 T2 Homework Help And Answers Slader

Otvety Mail Ru Kak Reshit Differencialnoe Uravnenie Y 2y Y E X X 2 1
If Y E X A Cos X B Sin X Then Y Is A Solution Of Studyrankersonline

Solve Y Y 2y 21e X My X Coeff Does Not Match Mathematics Stack Exchange

Ppt The Method Of Undetermined Coefficients Muc Powerpoint Presentation Id
2

Solved Consider The Differential Equation Y 2y Y Chegg Com
Who Can Solve This Y 2y E X Quora

Ex 9 3 5 Form Differential Equation Y Ex A Cos X B Sin X

Second Order Linear Odes Ppt Download

Answered Solve The Differential Equation By The Bartleby
How To Solve Y 2y Y E 2x X 2 X Quora

3 Which Of The Following Couldn T Be The Solution Of A Differential Equation A Z T 6 Pdf Free Download

Variation Of Parameters Y 2y Y E X 1 X 2 Youtube

Solved The General Solution Of Y 2y Y E X 2 Is Y C Chegg Com

Answered In Problems 11 44 Through 11 52 Find Bartleby
Solved Y 4y 4y X 1 E 2x Y 2y Y E X 1 X 2 Chegg Com
Faculty Math Illinois Edu Rdeville Teaching 286 Hw5s Pdf

Solutions To Problems In Chapter One Mathematics

Y Y 2y E Y Y 2y Y 0 Homeworklib

Differential Equation Ppt Download
2
Solve By The Method Of Undetermined Coefficients Y 2y 5y E 2x Sarthaks Econnect Largest Online Education Community

Method Of Undetermined Coefficients Linear Dependent Case Exponential Youtube

Solve The Equation Dy Dx 2y 3ex Math Differential Equations Meritnation Com
How To Solve Math Y 2y Y E X Ln X Math Quora

Solve The Differential Equation Using The Method

Ln X Y
2
2
Solve By The Method Of Variation Of Parameters D 2y Dx 2 2dy Dx Y E Xlogx Sarthaks Econnect Largest Online Education Community
If Y E X Sinx Cosx Then Show That D 2y Dx 2 2dy Dx 2y 0 Sarthaks Econnect Largest Online Education Community

Solve The Differential Equation Using The Method Of Variation Of Parameters Y 3y 2y Sin E X Homework Help And Answers Slader

Ex 9 3 5 Form Differential Equation Y Ex A Cos X B Sin X

Solution Manual For Differential Equations An Introduction To Modern Methods And Applications 3rd Ed By Ebbob7 Issuu

If Y Sinx E X T H E N D 2x Dy 2 A Sinx E X 1

Solve The Differential Equation Using The Method Of Variation Of Parameters Y 3y 2y Sin E X Homework Help And Answers Slader

Non Homogeneous Differential Equation Y 2y Y Xlnx E X Youtube

Y 2y 2y E T Y 0 0 Y 0 1 Youtube

Tutorial 2 Differential Equations Ssce 1793 Utm Studocu

Documents Mx Eduv
Solved Solve For X 0 Y 2y Y E X Ln X Chegg Com
Find The General Solution Of The Given Differential Equation Y 2y Y Et 1 T2 Homework Help And Answers Slader

Solution Manual For Differential Equations An Introduction To Modern Methods And Applications 3rd Ed By Zwoho4 Issuu

Example 17 Show 2y E X Y Dx Y 2x Ex Y Dy 0 Particular
Y 2y Y X 3 Cos2x Using Method Of Undetermined Coefficients Brainly In
What Is The Particular Solution Of Math Y 2y 2y E X Sinx Math Quora

Ex 9 3 4 Form Differential Equation Y E2x A Bx
Chapter 4 Higher Order Differential Equations Equations Elementary Mathematics

Worked Example Identifying Separable Equations Video Khan Academy
Solving By The Method Of Undetermined Coefficients The Equation Y 2y 5y E 2x Sarthaks Econnect Largest Online Education Community
How To Solve This Differential Equation Math Y Y 2y E X Math Quora
Find The General Solution Of Y 2y Y X 2xex Stumbling Robot

Y 2y 2e X Youtube

Solucionario Ecuaciones Diferenciales

Ex 9 3 4 Form Differential Equation Y E2x A Bx

If Y Ex Sin X Prove That D2y Dx2 2 Dy Dx 2y 0 Explain In Great Detail Mathematics Topperlearning Com 5p09j033

Ex 9 3 4 Form Differential Equation Y E2x A Bx

Solve The Differential Equation Y Y 2y Cos X Sin 2x Youtube

Resuelva Por Coeficientes Indeterminados Y Variacion De Parametros By Gerson Villa Gonzalez Issuu

Given The Following Equations Y X Y X E X 2y X Y X E X Y X 2y X E X A Use The Integration Factor And Find Your Homeworklib

Answered A Point Is An Ordinary Point Of A Bartleby
Solved Solve The Differential Equation Y 2y Y E X Usin Chegg Com
Solved A Particular Solution Of The De Y 2y Y E X Chegg Com

Solve The Differential Equation Y 3y 2y 4e X With Variation Of Parameters Youtube
What Is The General Solution To Y 2y Y E X Cosx Quora

Physical Chemistry Chemical Kinetics 50 1 The Following Facts Are Available 2x Y 2y X2 2w Y No Reaction 2z X2 2x Z2 Whi Kunduz
Solved Solve Y 2y 2y 0 Y E X C 1 Cos 2x C 2 Chegg Com

Differential Equations Solved Examples Reduction Of Order Formula Second Solution 1 2x X 2 Y 2 1 X Y 2y 0 Y1 X X 1

Get Answer 1 Find The Solution Of The Initial Boundary Value Transtutors

Solved Solve Y 2y Y E X Arctan X By Variation Of Chegg Com

Solved Solve The Following Differential Equations Y 2y Y E X X Study Com

44 The Following Facts Are Available 2x Y 2y X L 2w

Differential Equations Solved Examples 16
Solve Y 2y 2y E X Tanx By Variation Of Parameter Sarthaks Econnect Largest Online Education Community
Finding Green Functions For Odes

Answered In Problems 11 44 Through 11 52 Find Bartleby

Nonhomogeneous Linear Equations

Solve The Differential Equation Y 2y 24y 16 X 2 E 4x Homeworklib

Answered In Problems 11 44 Through 11 52 Find Bartleby
Http Www Math Miami Edu Dscheib Teaching Fall11 Map2302 Files Map2302 Quizzes Exams Files Exam2 Answers Pdf