Nn+12 Formula Name
Binomial Theorem

Nomenclature Packet 1 Name The Following Ionic Compounds A Al 2 O 3 Aluminum Oxide B Cs 2 O Cesium Oxide C Rb 3 N Rubidium Nitride Pdf Free Download

7

Solved Using This Homework As A Review For Our Quiz Later Chegg Com

Intro To Arithmetic Sequences Algebra Video Khan Academy

175


Python Program To Find Sum Of N Natural Numbers

Sequences Finding A Rule

Intro To Arithmetic Sequences Algebra Video Khan Academy

Mod 3 Lesson 1 Hw
Sequences
2

Molecular Formula Molecular Name And Corresponding Abbreviation Of Download Table

The Story Of Gauss National Council Of Teachers Of Mathematics

Exam 1 Practice Test With Answers Math 1150 Clemson Studocu

Hypergeometric Distribution Examples And Formula Statistics How To

Solved 8 Let N Be Geometric With Parameter 0 P 1 Th Chegg Com

Arithmetic Progression Wikipedia

Ms Excel How To Use The N Function Ws
Pmp Formulas And Calculation For The Certification Demystified Project Management Business

Given An Integer N It Is Required To Compute The Chegg Com

Hit56 ログイン ユーザ登録 高分子データベース Polyinfo Results4241 4260of56 Xml Xml Schema Xml Schema Help 検索キーワード Copolymers 下のデータをクリックするとデータベースシステムのデータへ移動します データを見るために

Series Induction Algebra All Content Math Khan Academy

Triangular Numbers Youtube

Errors In Excel Types Examples How To Correct Errors In Excel
Gamma Function Wikipedia

175
Http Www Cabrillo Edu Hpayne Math 13 Lecture notes Chapter8 1 Filledout Pdf

Solved 1 Pentagonal Numbers Name Exercise 11 1 Java A P Chegg Com

Program For Fibonacci Numbers Geeksforgeeks

Csd Identifier Code Formula And Compound Name Of The Extracted Cif Download Table

Infinite Series
Gamma Function Wikipedia

81

Solved 1 Which Formula Name Combination Is Correct 5 00 Chegg Com

Diagonal Of A Polygon Formula Diagonal Formula Byju S

Stirling S Approximation Wikipedia

Dynamic Programming Subset Sum Problem

Python Functions Beginner To Expert By Srikanth Potukuchi Jul Medium

Solved 1 Draw Condensed Or Expanded Structural Formula F Chegg Com
Factorial Wikipedia

Solved Match Each Statistic S Name To Its Formula X I N Chegg Com

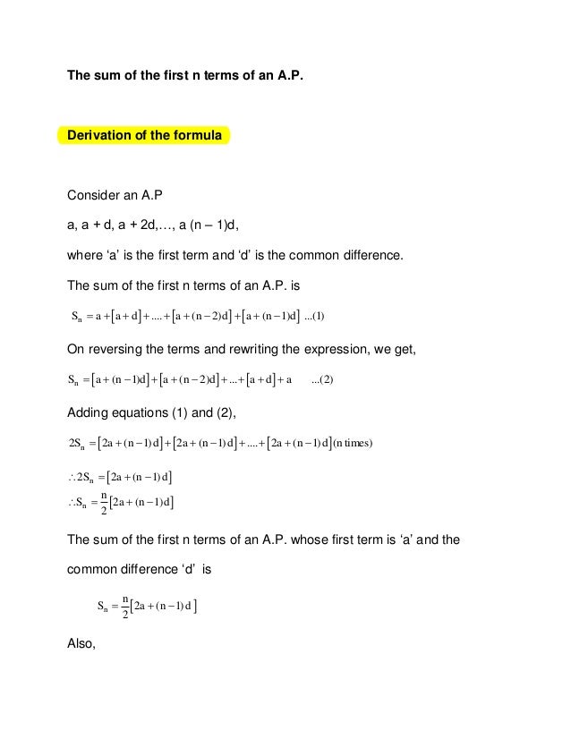
The Sum Of The First N Terms Of An Arithmetic Sequence Video Lesson Transcript Study Com

Solved Weekly Homework 9 Math 132 Due Friday March 13 N Chegg Com

Solved Can Anyone Please Explain In Detail How We Are Get Chegg Com
Sequence Wikipedia

Sabkasmbihjpim
2

Math5700 Proof Homework Name Date

N 1 Phenylpropan 2 Yl Hydroxylamine N Hydroxyamph By Asch Issuu

Loops

Ped Hsm11a2tr 08 1103 009

Mathematical Formula Tables

Mathematical Induction Topics In Precalculus

Hit23 ログイン ユーザ登録 高分子データベース Polyinfo Results2801 of23 Xml Xml Schema Xml Schema Help 検索キーワード Chlorine 同義語 Chlorine Cl 下のデータをクリックするとデータベースシステムのデータへ移動します

How To Find How Many Diagonals Are In A Polygon 11 Steps
Q Tbn 3aand9gctqsop5xoyrsdnd92znktpup9 Ctr1ohag3khqngrp Ali2fxrt Usqp Cau
What Is The Sum Of 1 3 5 7 9 11 13 15 17 19 21 23 25 27 29 31 95 97 99 Quora

Solved Binomial Coefficients You May Recall That The Bin Chegg Com
Q Tbn 3aand9gct9ujlz3opp Ivkhsmbzg8kjeufjwh0yh Osisnr Tg5qulmgs Usqp Cau

Infinite Series

Permutation And Combination Calculator

Approximations For The Factorial Function
Why Am I Not Able To Use Sn N 2 2a N 1 D Here But The Mark Scheme Uses N 2 A L The Student Room
/what-is-the-rydberg-formula-604285_final-251d1441e24e44c88aab687409554ed4.png)
What Is The Rydberg Formula And How Does It Work
Catalan Number Wikipedia

Molecular Structures Iupac Name Smiles And Molecular Formula Of Download Scientific Diagram
1

Reading And Writing Mathematical Proofs Spring 15 Lecture 2 Basic Proving Techniques Ppt Download

Tci America Trans N N Dimethylcyclohexane 1 2 Diamine D2946 1g 98 0 T Amazon Com Industrial Scientific

Name Class Arithmetic Sequence Practice Which Context Best

Main C Notepad Homework 1 Solution 2 Msu Studocu

Formulas

Exam May 10 Spring 18 Questions Differential Equations Studocu

1 2 3 4 Wikipedia

1 2 3 4 Wikipedia

Sum Of First N Natural Numbers Derivation Of A Formula Youtube
Http Www Ketteringschools Org Userfiles 1142 Classes 1021 Algii03 05 12 Pdf

Combination Formula Video Combinations Khan Academy
Q Tbn 3aand9gcqazg1klwwdkjxakshpnbz2jt2nnznxns2pmcq5hiueacursckb Usqp Cau

Key Section 2

How To Find How Many Diagonals Are In A Polygon 11 Steps

Carboxylic Acid Reactivity
Solved A Check That The Following Formula 1 4 2 4 3 Chegg Com

95 47 Sums Of Powers And Eulerian Numbers The Mathematical Gazette Cambridge Core

Epb1 Resin System Google Patents
Contribution Of Indian Mathematicians Pdf Pi Mathematical Objects

To Define Function And Introduce Operations On The Set Of Functions To Investigate Which Of The Field Properties Hold In The Set Of Functions Pdf Free Download

Surprising Patterns In The Square Numbers 1 4 9 16 Betterexplained
Q Tbn 3aand9gcsjp1xrgh628icauif4w1ydpbn6o9idvzvoq9yleyn2k D1ljgf Usqp Cau

Compound Name And Molecular Formula With The Reference Code Used Download Table
Geometric Sequences And Sums
Geometric Formulas Area Circle Free 30 Day Trial Scribd

List Of Math Formulas

The Connell Sum Sequence

By Rene Boyas Names Chemical Formula Is C 22 H 28 N 2 O Its Chemical Name Is N 1 2 Phenethyl 4 Piperidinyl N Phenyl Propanamide Like Heroin Morphine Ppt Download
Combination Wikipedia

Ex 5 3 4 How Many Terms Of Ap 9 17 25 Must Be Ex 5 3

Logarithm Rules Chilimath

Molecular Formula Molecular Name And Corresponding Abbreviation Of Download Table

Solved Let N Be Geometric With Parameter 0 P 1 That Chegg Com
What Is The Name For The Pattern 1 2 4 8 16 What Is The Formula To Determine A Known Position In The Pattern Quora

Arithmetic Progression For Ssc Maths 14
Www Certifico Com Component Attachments Download